Упр.28.5 ГДЗ Мордкович Семенов 7 класс (Алгебра)
Решение #1

Рассмотрим вариант решения задания из учебника Мордкович, Семенов, Александрова 7 класс, Бином:
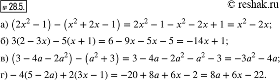
28.5. Преобразуйте выражение в многочлен стандартного вида:
а) (2х^2 - 1) - (х^2 + 2х - 1); в) (3 - 4а - 2а^2) - (а^2 + 3);
б) 3(2 - 3x) - 5(x + 1); г) -4(5 - 2а) + 2(3x - 1).
*размещая тексты в комментариях ниже, вы автоматически соглашаетесь с пользовательским соглашением