Упр.29.15 ГДЗ Мордкович Семенов 7 класс (Алгебра)
Решение #1

Рассмотрим вариант решения задания из учебника Мордкович, Семенов, Александрова 7 класс, Бином:
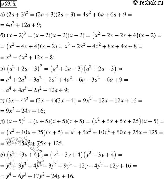
29.15. Преобразуйте выражение в многочлен стандартного вида:
а) (2a + 3)^2; г) (3x - 4)^2;
б) (x - 2)^3; д) (x + 5)^3;
в) (a^2 + 2a - 3)^2; е) (y^2 - 3y + 4)^2.
*размещая тексты в комментариях ниже, вы автоматически соглашаетесь с пользовательским соглашением