Упр.29.16 ГДЗ Мордкович Семенов 7 класс (Алгебра)
Решение #1

Рассмотрим вариант решения задания из учебника Мордкович, Семенов, Александрова 7 класс, Бином:
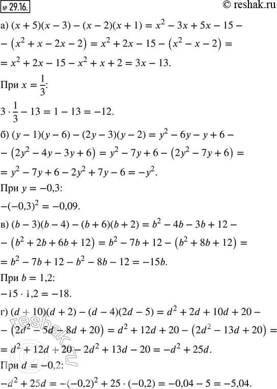
29.16. Найдите значение выражения:
а) (x + 5)(x — 3) — (х — 2)(х + 1) при х = 1/3;
б) (y - 1)(y - 6) - (2y - 3)(y - 2) при у = -0,3;
в) (b - 3)(b - 4) - (b + 6)(b + 2) при b = 1,2;
г) (d + 10)(d + 2) - (d - 4)(2d - 5) при d = -0,2.
*размещая тексты в комментариях ниже, вы автоматически соглашаетесь с пользовательским соглашением