Упр.3.14 ГДЗ Мордкович Семенов 7 класс (Алгебра)
Решение #1

Рассмотрим вариант решения задания из учебника Мордкович, Семенов, Александрова 7 класс, Бином:
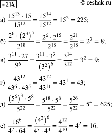
3.14. Вычислите:
а) ((15)^13 · 15)/(15)^12;
б) (2^6 · (2^3)^5)/2^18;
в) (3^11 · 27)/9^6;
г) (43)^12/((43)^6 · (43)^5);
д) ((5^6)^3 · 5^8)/5^22;
е) (16)^6/(4^7 · 64).
*размещая тексты в комментариях ниже, вы автоматически соглашаетесь с пользовательским соглашением