Упр.3.4 ГДЗ Мордкович Семенов 7 класс (Алгебра)
Решение #1

Рассмотрим вариант решения задания из учебника Мордкович, Семенов, Александрова 7 класс, Бином:
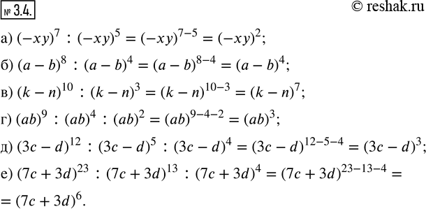
3.4. Представьте частное в виде степени.
а) (-xy)^7 : (-xy)^5;
б) (a - b)^8 : (a - b)^4;
в) (k - n)^10 : (k - n)^3;
г) (ab)^9 : (ab)^4 : (ab)^2;
д) (3c - d)^12 : (3c - d)^5 : (3c - d)^4;
е) (7c + 3d)^23 : (7c + 3d)^13 : (7c + 3d)^4.
*размещая тексты в комментариях ниже, вы автоматически соглашаетесь с пользовательским соглашением