Упр.3.7 ГДЗ Мордкович Семенов 7 класс (Алгебра)
Решение #1

Рассмотрим вариант решения задания из учебника Мордкович, Семенов, Александрова 7 класс, Бином:
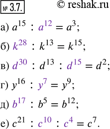
3.7. Заполните пропуски так, чтобы получилось верное равенство.
а) a^15 : ... = a^3;
б) ... : k^13 = k^15;
в) ... : d^13 : ...= d^2;
г) y^16 : ... = y^9;
д) ... : b^5 = b^12;
е) c^21 : ... : ... = c^7.
*размещая тексты в комментариях ниже, вы автоматически соглашаетесь с пользовательским соглашением