Упр.30.5 ГДЗ Мордкович Семенов 9 класс (Алгебра)
Решение #1

Рассмотрим вариант решения задания из учебника Мордкович, Семенов, Александрова 9 класс, Бином:
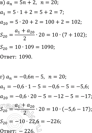
30.5. Найдите сумму первых двадцати членов арифметической прогрессии (a_n), заданной формулой n-го члена:
а) a_n=-3n+1; в) a_n=5n+2;
б) a_n=1,5n+2,5; г) a_n=-0,6n-5.
*размещая тексты в комментариях ниже, вы автоматически соглашаетесь с пользовательским соглашением