Упр.30.9 ГДЗ Мордкович Семенов 8 класс (Алгебра)
Решение #1

Рассмотрим вариант решения задания из учебника Мордкович, Семенов, Александрова 8 класс, Бином:
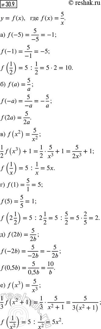
30.9. Дана функция у = f(x), где f(x) = 5/x. Найдите:
а) f(-5), f(-1), f(1/2); г) f(1), f(5), f(2 1/2);
б) f(a), f(-a), f(2a); д) f(2b), f(-2b), f(0,5b);
в) f(x^2), 1/2 f(x^3) + 1, f(1/x); е) f(x^3), 1/3 f(x^2 + 1), f(1/x^2).
*размещая тексты в комментариях ниже, вы автоматически соглашаетесь с пользовательским соглашением