Упр.303 ГДЗ Колягин Ткачёва 8 класс (Алгебра)
Решение #1

Рассмотрим вариант решения задания из учебника Колягин, Ткачёва, Фёдорова 8 класс, Просвещение:
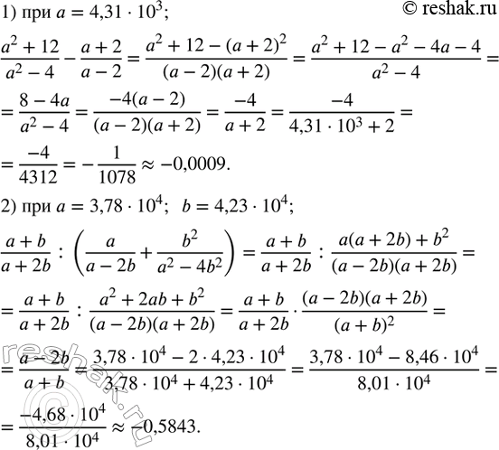
303. Упростить выражение и найти его числовое значение с точностью до 0,0001:
1) (a^2+12)/(a^2-4)-(a+2)/(a-2) при a=4,31•?10?^3;
2) (a+b)/(a+2b) :(a/(a-2b)+b^2/(a^2-4b^2 )) при a=3,78•?10?^4; b=4,23•?10?^4.
*размещая тексты в комментариях ниже, вы автоматически соглашаетесь с пользовательским соглашением