Упр.31.16 ГДЗ Мордкович Семенов 7 класс (Алгебра)
Решение #1

Рассмотрим вариант решения задания из учебника Мордкович, Семенов, Александрова 7 класс, Бином:
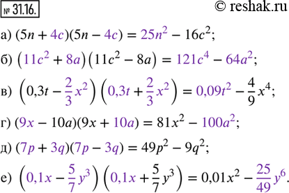
31.16. Замените пропуски одночленами так, чтобы равенство было верным:
а) (5n + ?)(? - ?) = ? - 16с^2;
б) (? + ?)(11c^2 - 8а) = ? - ?;
в) (0,3t - ?)(? + ?) = ? - 4/9 x^4;
г) (? - 10а)(? + ?) = 81x^2 - ?;
д) (? + ?)(? - ?) = 49p^2 - 9q^2;
е) (? - ?)(? + 5/7 y^3) = 0,01x^2 - ?.
*размещая тексты в комментариях ниже, вы автоматически соглашаетесь с пользовательским соглашением