Упр.31.18 ГДЗ Мордкович Семенов 9 класс (Алгебра)
Решение #1

Рассмотрим вариант решения задания из учебника Мордкович, Семенов, Александрова 9 класс, Бином:
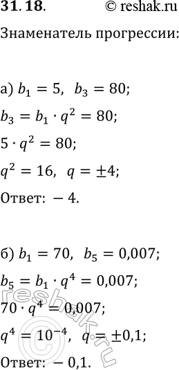
31.18. а) Дана знакочередующаяся геометрическая прогрессия (b_n). Найдите знаменатель прогрессии, если b_1=5, b_3=80.
б) Дана знакочередующаяся геометрическая прогрессия (b_n). Найдите знаменатель прогрессии, если b_1=70, b_5=0,007.
*размещая тексты в комментариях ниже, вы автоматически соглашаетесь с пользовательским соглашением