Упр.32.12 ГДЗ Мордкович Семенов 8 класс (Алгебра)
Решение #1

Рассмотрим вариант решения задания из учебника Мордкович, Семенов, Александрова 8 класс, Бином:
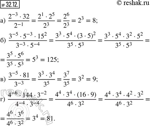
32.12. Вычислите:
а) (2^(-3) · 32)/(2^(-1));
б) (3^(-5) · 5^(-3) · 15^2)/(3^(-3) · 5^(-4));
в) (3^(-5) · 81)/(3^(-3));
г) (4^(-6) · 144 · 3^(-2))/(4^(-4) · 3^(-4)).
*размещая тексты в комментариях ниже, вы автоматически соглашаетесь с пользовательским соглашением