Упр.32.2 ГДЗ Мордкович Семенов 7 класс (Алгебра)
Решение #1

Рассмотрим вариант решения задания из учебника Мордкович, Семенов, Александрова 7 класс, Бином:
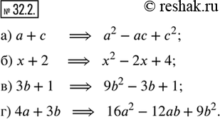
32.2. Составьте для суммы одночленов неполный квадрат их разности:
а) а + с; б) х + 2; в) 3b + 1; г) 4а + 3b.
*размещая тексты в комментариях ниже, вы автоматически соглашаетесь с пользовательским соглашением