Упр.32.7 ГДЗ Мордкович Семенов 8 класс (Алгебра)
Решение #1

Рассмотрим вариант решения задания из учебника Мордкович, Семенов, Александрова 8 класс, Бином:
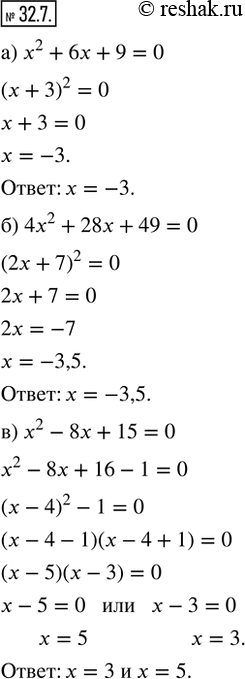
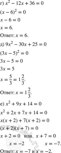
32.7. Решите уравнение:
а) x^2 + 6x + 9 = 0; г) x^2 - 12x + 36 = 0;
б) 4x^2 + 28x + 49 = 0; д) 9x^2 - 30x + 25 = 0;
в) x^2 - 8x + 15 = 0; е) x^2 + 9x + 14 = 0.
*размещая тексты в комментариях ниже, вы автоматически соглашаетесь с пользовательским соглашением