Упр.33 ГДЗ Колягин Ткачёва 11 класс (Алгебра)
Решение #1
Решение #2

Рассмотрим вариант решения задания из учебника Колягин, Ткачёва, Фёдорова 11 класс, Просвещение:
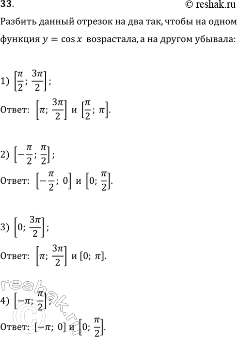
33. Разбить данный отрезок на два отрезка так, чтобы на одном из них функция y = cosx возрастала, а на другом убывала:
1) [пи/2; 3пи/2];
2) [-пи/2;пи/2];
3) [0;3пи/2];
4) [-пи;пи/2].
*размещая тексты в комментариях ниже, вы автоматически соглашаетесь с пользовательским соглашением