Упр.33.2 ГДЗ Мордкович Семенов 8 класс (Алгебра)
Решение #1

Рассмотрим вариант решения задания из учебника Мордкович, Семенов, Александрова 8 класс, Бином:
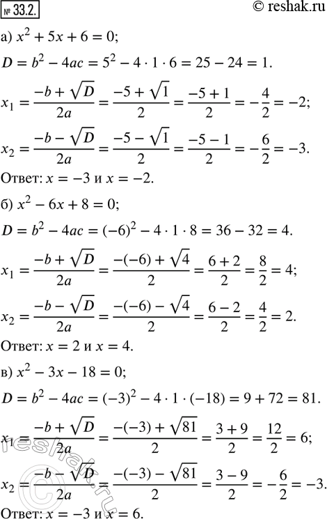
33.2. Решите уравнение:
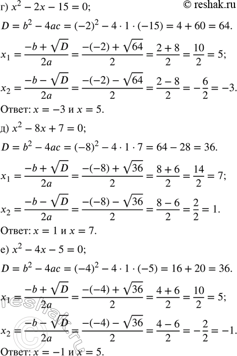
а) x^2 + 5x + 6 = 0; г) x^2 - 2x - 15 = 0;
б) x^2 - 6x + 8 = 0; д) x^2 - 8x + 7 = 0;
в) x^2 - 3x - 18 = 0; е) x^2 - 4x - 5 = 0.
*размещая тексты в комментариях ниже, вы автоматически соглашаетесь с пользовательским соглашением