Упр.34.2 ГДЗ Мордкович Семенов 9 класс (Алгебра)
Решение #1

Рассмотрим вариант решения задания из учебника Мордкович, Семенов, Александрова 9 класс, Бином:
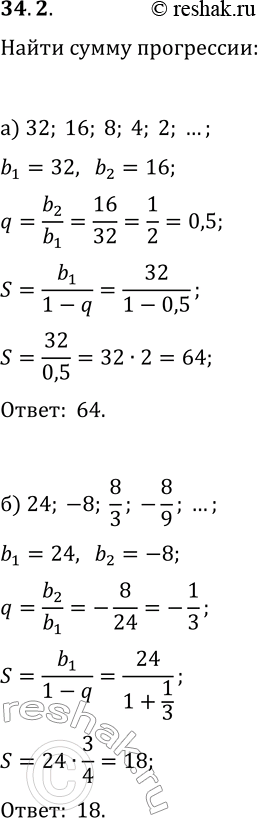
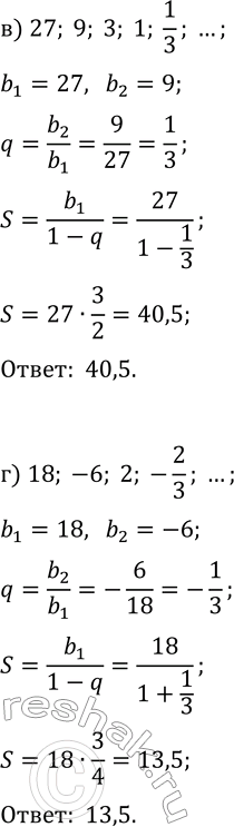
34.2. Найдите сумму геометрической прогрессии:
а) 32, 16, 8, 4, 2, ...; в) 27, 9, 3, 1, 1/3, ...;
б) 24, -8, 8/3, -8/9, ...; г) 18, -6, 2, -2/3, ... .
*размещая тексты в комментариях ниже, вы автоматически соглашаетесь с пользовательским соглашением