Упр.34.3 ГДЗ Мордкович Семенов 8 класс (Алгебра)
Решение #1

Рассмотрим вариант решения задания из учебника Мордкович, Семенов, Александрова 8 класс, Бином:
34.3. Решите уравнение:
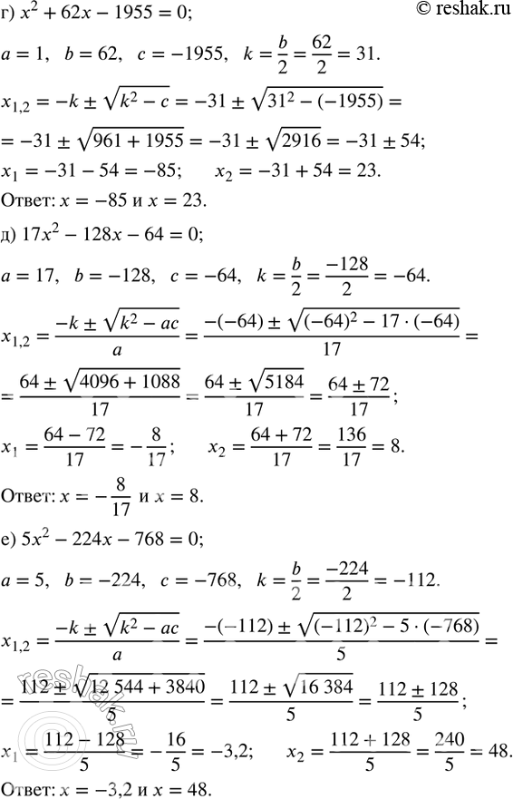
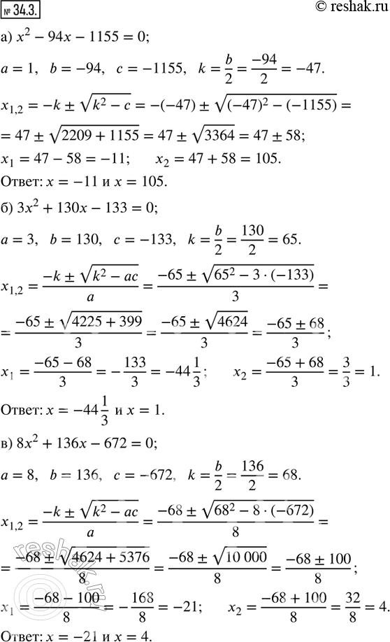
а) x^2 - 94x - 1155 = 0; г) x^2 + 62x - 1955 = 0;
б) 3x^2 + 130x - 133 = 0; д) 17x^2 - 128x - 64 = 0;
в) 8x^2 + 136x - 672 = 0; е) 5x^2 - 224x - 768 = 0.
*размещая тексты в комментариях ниже, вы автоматически соглашаетесь с пользовательским соглашением