Упр.34.6 ГДЗ Мордкович Семенов 9 класс (Алгебра)
Решение #1

Рассмотрим вариант решения задания из учебника Мордкович, Семенов, Александрова 9 класс, Бином:
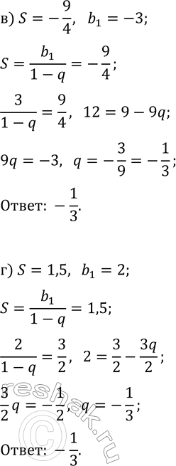
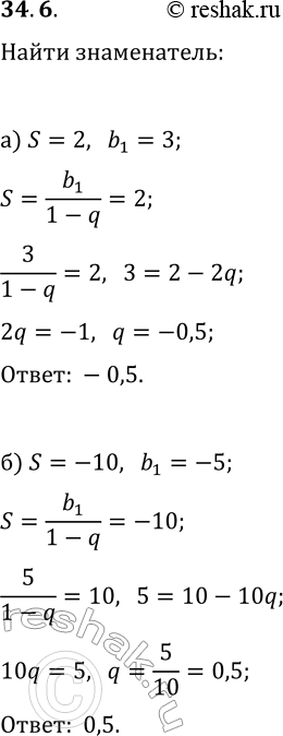
34.6. Найдите знаменатель геометрической прогрессии (b_n), если:
а) S=2, b_1=3; в) S=-9/4, b_1=-3;
б) S=-10, b_1=-5; г) S=1,5, b_1=2.
*размещая тексты в комментариях ниже, вы автоматически соглашаетесь с пользовательским соглашением