Упр.34.7 ГДЗ Мордкович Семенов 7 класс (Алгебра)
Решение #1

Рассмотрим вариант решения задания из учебника Мордкович, Семенов, Александрова 7 класс, Бином:
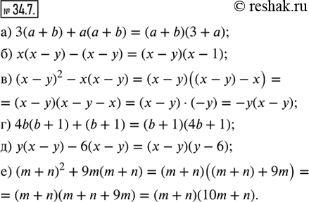
34.7. Разложите многочлен на множители с помощью вынесения общего множителя за скобки:
а) 3(a + b) + a(a + b); г) 4b(b + 1) + (b + 1);
б) x(x - y) - (x - y); д) y(x - y) - 6(x - y);
в) (x - y)^2 - x(x - y); е) (m + n)^2 + 9m(m + n).
*размещая тексты в комментариях ниже, вы автоматически соглашаетесь с пользовательским соглашением