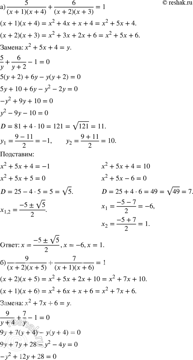
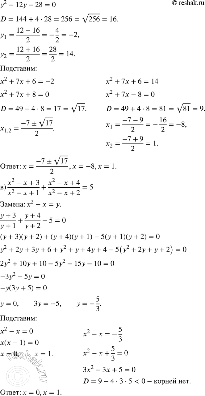
Упр.342 ГДЗ Никольский Потапов 8 класс (Алгебра)
Решение #1

Рассмотрим вариант решения задания из учебника Никольский, Потапов 8 класс, Просвещение:
342
*размещая тексты в комментариях ниже, вы автоматически соглашаетесь с пользовательским соглашением