Упр.35.6 ГДЗ Мордкович Семенов 7 класс (Алгебра)
Решение #1

Рассмотрим вариант решения задания из учебника Мордкович, Семенов, Александрова 7 класс, Бином:
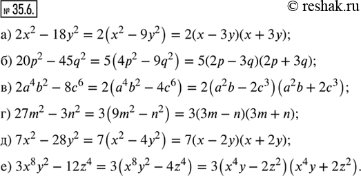
35.6. Разложите, если возможно, данный двучлен на множители:
а) 2x^2 - 18y^2; в) 2a^4 b^2 - 8c^6; д) 7x^2 - 28y^2;
б) 20p^2 - 45q^2; г) 27m^2 - 3n^2; е) 3x^8 y^2 - 12z^4.
*размещая тексты в комментариях ниже, вы автоматически соглашаетесь с пользовательским соглашением