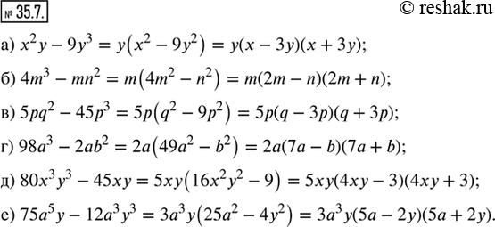
Упр.35.7 ГДЗ Мордкович Семенов 7 класс (Алгебра)
Решение #1

Рассмотрим вариант решения задания из учебника Мордкович, Семенов, Александрова 7 класс, Бином:
35.7. Разложите, если возможно, данный двучлен на множители:
а) x^2 y - 9y^3; в) 5pq^2 - 45p^3; д) 80x^3 y^3 - 45xy;
б) 4m^3 - mn^2; г) 98a^3 - 2ab^2; е) 75a^5 y - 12a^3 y^3.
*размещая тексты в комментариях ниже, вы автоматически соглашаетесь с пользовательским соглашением