Упр.36.22 ГДЗ Мордкович Семенов 7 класс (Алгебра)
Решение #1

Рассмотрим вариант решения задания из учебника Мордкович, Семенов, Александрова 7 класс, Бином:
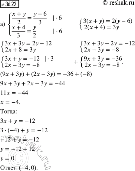
36.22. Решите систему уравнений:
а) {(x+y)/2 = (y-6)/3; (x+4)/3 = y/2};
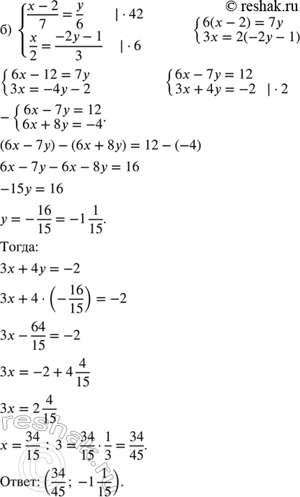
б) {(x-2)/7 = y/6; x/2 = (-2y-1)/3}.
*размещая тексты в комментариях ниже, вы автоматически соглашаетесь с пользовательским соглашением