Упр.36.4 ГДЗ Мордкович Семенов 7 класс (Алгебра)
Решение #1

Рассмотрим вариант решения задания из учебника Мордкович, Семенов, Александрова 7 класс, Бином:
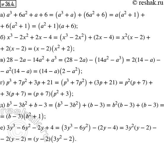
36.4. Разложите на множители данное выражение:
а) a^3 + 6a^2 + a + 6; г) p^3 + 7p^2 + 3p + 21;
б) x^3 - 2x^2 + 2x - 4; д) b^3 - 3b^2 + b - 3;
в) 28 - 2a - 14a^2 + a^3; е) 3y^3 - 6y^2 - 2y + 4.
*размещая тексты в комментариях ниже, вы автоматически соглашаетесь с пользовательским соглашением