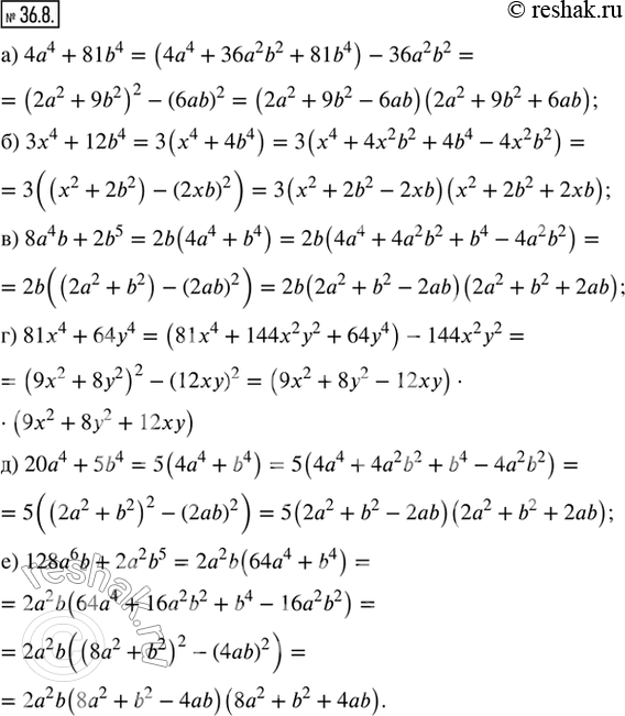
Упр.36.8 ГДЗ Мордкович Семенов 7 класс (Алгебра)
Решение #1

Рассмотрим вариант решения задания из учебника Мордкович, Семенов, Александрова 7 класс, Бином:
36.8. Разложите на множители данное выражение:
а) 4a^4 + 81b^4; г) 81x^4 + 64y^4;
б) 3x^4 + 12b^4; д) 20a^4 + 5b^4;
в) 8a^4 b + 2b^5; е) 128a^6 b + 2a^2 b^5.
*размещая тексты в комментариях ниже, вы автоматически соглашаетесь с пользовательским соглашением