Упр.37.11 ГДЗ Мордкович Семенов 8 класс (Алгебра)
Решение #1

Рассмотрим вариант решения задания из учебника Мордкович, Семенов, Александрова 8 класс, Бином:
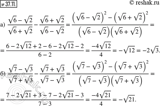
37.11. Упростите выражение:
а) (v6 - v2)/(v6 + v2) - (v6 + v2)/(v6 - v2);
б) (v7 - v3)/(v7 + v3) - (v7 + v3)/(v7 - v3).
*размещая тексты в комментариях ниже, вы автоматически соглашаетесь с пользовательским соглашением