Упр.37.12 ГДЗ Мордкович Семенов 7 класс (Алгебра)
Решение #1

Рассмотрим вариант решения задания из учебника Мордкович, Семенов, Александрова 7 класс, Бином:
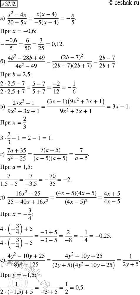
37.12. Найдите значение алгебраической дроби рациональным способом:
а) (x^2 - 4x)/(20 - 5x) при x = -0,6;
б) (4b^2 - 28b + 49)/(4b^2 - 49) при b = 2,5;
в) (27x^3 - 1)/(9x^2 + 3x + 1) при x = 2/3;
г) (7a + 35)/(a^2 - 25) при a = 1,5;
д) (16x^2 - 25)/(25 - 40x + 16x^2) при x = -3/4;
е) (4y^2 - 10y + 25)/(8y^3 + 125) при y = -1,5.
*размещая тексты в комментариях ниже, вы автоматически соглашаетесь с пользовательским соглашением