Упр.37.7 ГДЗ Мордкович Семенов 8 класс (Алгебра)
Решение #1

Рассмотрим вариант решения задания из учебника Мордкович, Семенов, Александрова 8 класс, Бином:
37.7. а) Мастерская к определённому сроку должна была выпустить 5400 пар обуви. Фактически она выпускала в день на 30 пар больше плана и выполнила заказ на 9 дней раньше срока. За сколько дней был выполнен заказ?
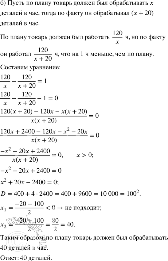
б) Токарь должен обработать 120 деталей к определённому сроку. Применив новый резец, он стал обтачивать в час на 20 деталей больше и поэтому закончил работу на 1 ч раньше срока. Сколько деталей в час он должен был обрабатывать по плану?
*размещая тексты в комментариях ниже, вы автоматически соглашаетесь с пользовательским соглашением