Упр.37.8 ГДЗ Мордкович Семенов 7 класс (Алгебра)
Решение #1

Рассмотрим вариант решения задания из учебника Мордкович, Семенов, Александрова 7 класс, Бином:
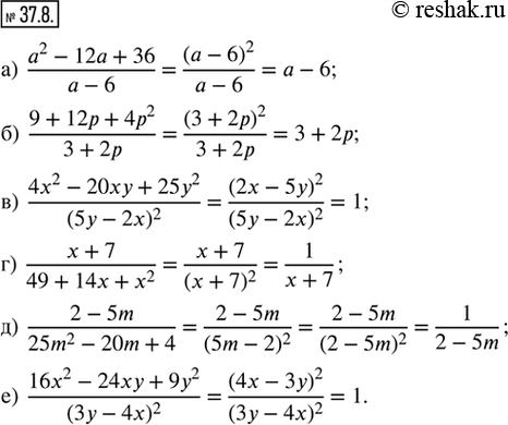
37.8. Сократите данную алгебраическую дробь:
а) (a^2 - 12a + 36)/(a - 6);
б) (9 + 12p + 4p^2)/(3 + 2p);
в) (4x^2 - 20xy + 25y^2)/(5y - 2x)^2;
г) (x + 7)/(49 + 14x + x^2);
д) (2 - 5m)/(25m^2 - 20m + 4);
е) (16x^2 - 24xy + 9y^2)/(3y - 4x)^2.
*размещая тексты в комментариях ниже, вы автоматически соглашаетесь с пользовательским соглашением