Упр.371 ГДЗ Колягин Ткачёва 11 класс (Алгебра)
Решение #1
Решение #2

Рассмотрим вариант решения задания из учебника Колягин, Ткачёва, Фёдорова 11 класс, Просвещение:
Вычислить интеграл (371—375).
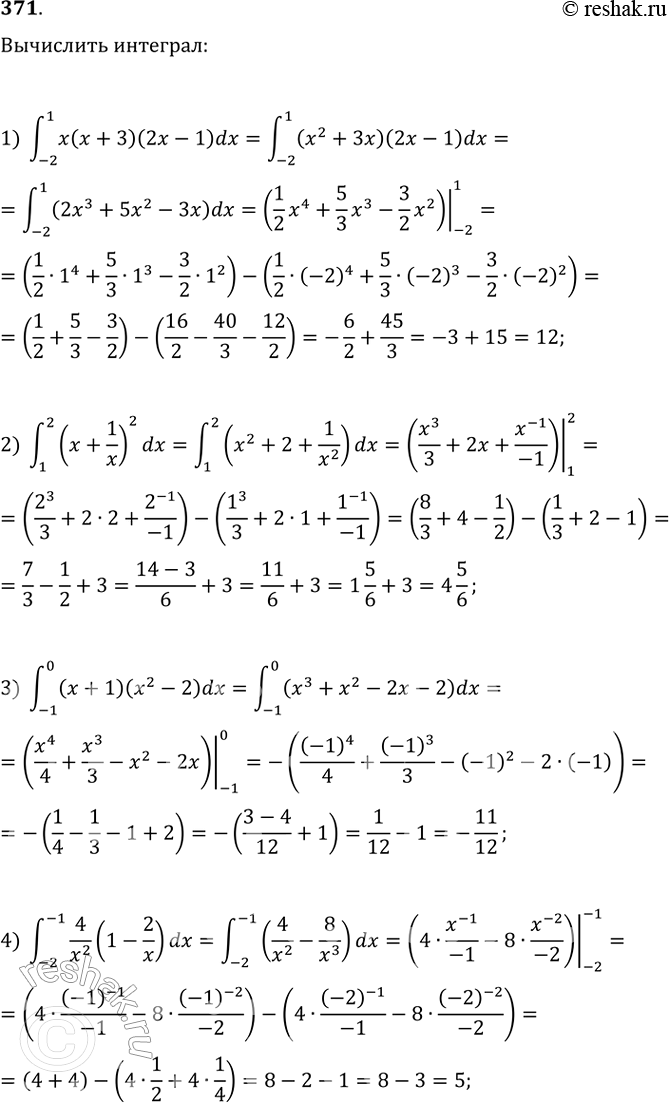
371 1) интеграл (-2;1) x(x+3)(2x-1)dx;
2) интеграл (1;2) (x+1/x)2 dx;
3) интеграл (-1;0) (x+1)(x2-2)dx;
4) интеграл (-2;-1) 4/x2 (1-2/x)dx.
*размещая тексты в комментариях ниже, вы автоматически соглашаетесь с пользовательским соглашением