Упр.375 ГДЗ Колягин Ткачёва 11 класс (Алгебра)
Решение #1
Решение #2

Рассмотрим вариант решения задания из учебника Колягин, Ткачёва, Фёдорова 11 класс, Просвещение:
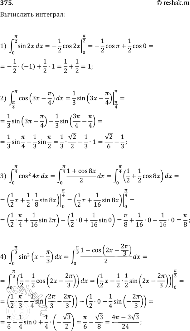
375 1) интеграл (0;пи/2) sin2x dx;
2) интеграл (пи/4;пи) cos(3x-пи/4) dx;
3) интеграл (0;пи/4) cos2 4x dx;
4) интеграл (0;пи/3) sin2(x-пи/3) dx.
*размещая тексты в комментариях ниже, вы автоматически соглашаетесь с пользовательским соглашением