Упр.381 ГДЗ Колягин Ткачёва 8 класс (Алгебра)
Решение #1

Рассмотрим вариант решения задания из учебника Колягин, Ткачёва, Фёдорова 8 класс, Просвещение:
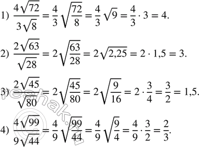
381. Вычислить:
1) (4v72)/(3v8);
2) (2v63)/v28;
3) (2v45)/v80;
4) (4v99)/(9v44).
*размещая тексты в комментариях ниже, вы автоматически соглашаетесь с пользовательским соглашением