Упр.39.15 ГДЗ Мордкович Семенов 9 класс (Алгебра)
Решение #1

Рассмотрим вариант решения задания из учебника Мордкович, Семенов, Александрова 9 класс, Бином:
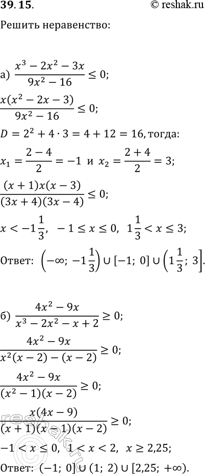
39.15. Решите неравенство:
а) (x^3-2x^2-3x)/(9x^2-16)?0;
б) (4x^2-9x)/(x^3-2x^2-x+2)?0;
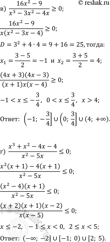
в) (16x^2-9)/(x^3-3x^2-4x)?0;
г) (x^3+x^2-4x-4)/(x^2-5x)?0.
*размещая тексты в комментариях ниже, вы автоматически соглашаетесь с пользовательским соглашением