Упр.4.26 ГДЗ Мордкович Семенов 8 класс (Алгебра)
Решение #1

Рассмотрим вариант решения задания из учебника Мордкович, Семенов, Александрова 8 класс, Бином:
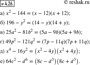
4.26. Разложите многочлен на множители:
а) х^2 - 144; в) 25а^2 - 81b^2; д) х^4 — 16y^2;
б) 196 - y^2; г) 49р^2 - 121q^2; е) 64c^2 - d^6.
*размещая тексты в комментариях ниже, вы автоматически соглашаетесь с пользовательским соглашением