Упр.451 ГДЗ Никольский Потапов 7 класс (Алгебра)
Решение #1

Рассмотрим вариант решения задания из учебника Никольский, Потапов 7 класс, Просвещение:
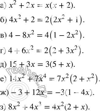
451. Разложите двучлен на множители:
а) x2+2x;
б) 4x2 + 2;
в) 4-8x2;
г) 4 + 6x2;
д) 15 + Зx;
е) 14x2+7x4;
ж) -3 + 12x;
з) 8x2 + 4x3.
*размещая тексты в комментариях ниже, вы автоматически соглашаетесь с пользовательским соглашением