Упр.454 ГДЗ Колягин Ткачёва 8 класс (Алгебра)
Решение #1

Рассмотрим вариант решения задания из учебника Колягин, Ткачёва, Фёдорова 8 класс, Просвещение:
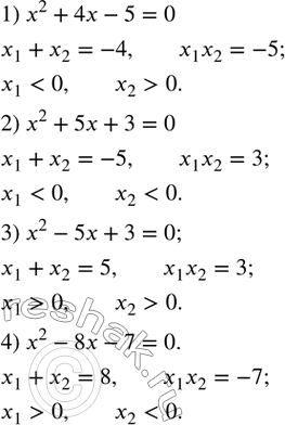
454. (Устно.) Не решая уравнения, имеющего корни, определить знаки его корней:
1) x^2+4x-5=0;
2) x^2+5x+3=0;
3) x^2-5x+3=0;
4) x^2-8x-7=0.
*размещая тексты в комментариях ниже, вы автоматически соглашаетесь с пользовательским соглашением