Упр.460 ГДЗ Колягин Ткачёва 8 класс (Алгебра)
Решение #1

Рассмотрим вариант решения задания из учебника Колягин, Ткачёва, Фёдорова 8 класс, Просвещение:
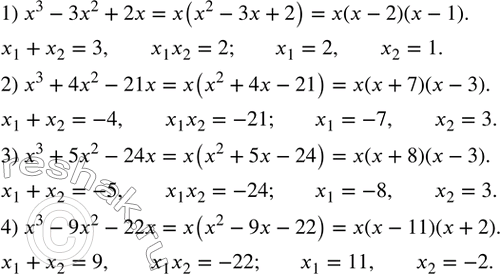
460. Разложить на множители:
1) x^3-3x^2+2x;
2) x^3+4x^2-21x;
3) x^3+5x^2-24x;
4) x^3-9x^2-22x.
*размещая тексты в комментариях ниже, вы автоматически соглашаетесь с пользовательским соглашением