Упр.465 ГДЗ Колягин Ткачёва 8 класс (Алгебра)
Решение #1

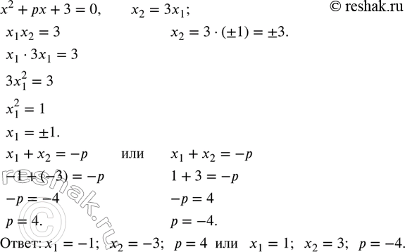
Рассмотрим вариант решения задания из учебника Колягин, Ткачёва, Фёдорова 8 класс, Просвещение:
464. Корни x_1 и x_2 квадратного уравнения x^2+px+3=0 удовлетворяет условию x_2=3x_1. Найти p, x_1, x_2.
*размещая тексты в комментариях ниже, вы автоматически соглашаетесь с пользовательским соглашением