Упр.471 ГДЗ Колягин Ткачёва 8 класс (Алгебра)
Решение #1

Рассмотрим вариант решения задания из учебника Колягин, Ткачёва, Фёдорова 8 класс, Просвещение:
471. Решить уравнение:
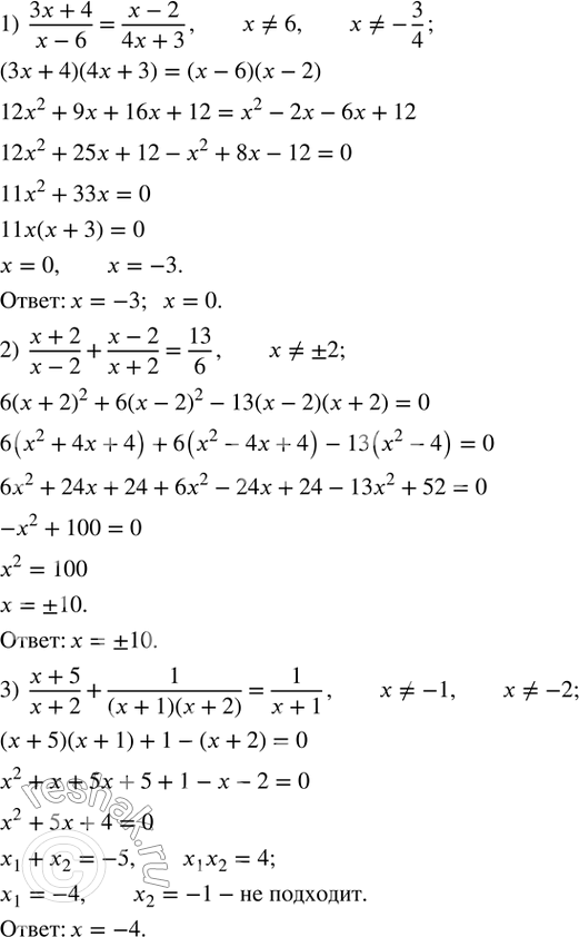
1) (3x+4)/(x-6)=(x-2)/(4x+3);
2) (x+2)/(x-2)+(x-2)/(x+2)=13/6;
3) (x+5)/(x+2)+1/(x+1)(x+2) =1/(x+1);
4) (x^2-2x-5)/(x-3)(x-1) +1/(x-3)=1;
5) x^2/(x+3)-x/(-3-x)=6/(x+3);
6) x^2/(x-1)-2x/(1-x)=3/(x-1).
*размещая тексты в комментариях ниже, вы автоматически соглашаетесь с пользовательским соглашением