Упр.473 ГДЗ Колягин Ткачёва 11 класс (Алгебра)
Решение #1
Решение #2

Рассмотрим вариант решения задания из учебника Колягин, Ткачёва, Фёдорова 11 класс, Просвещение:
473. Решить относительно n уравнение:
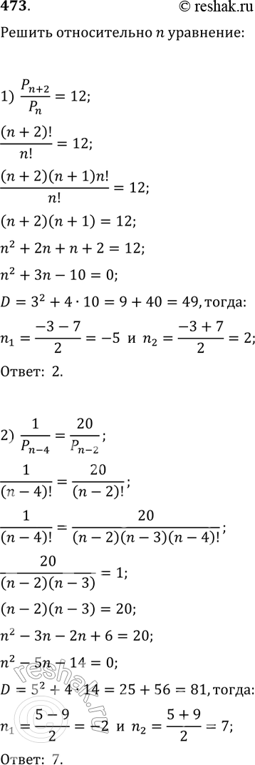
1) Pn+2/Pn = 12;
2) 1/Pn-4 = 20/Pn-2;
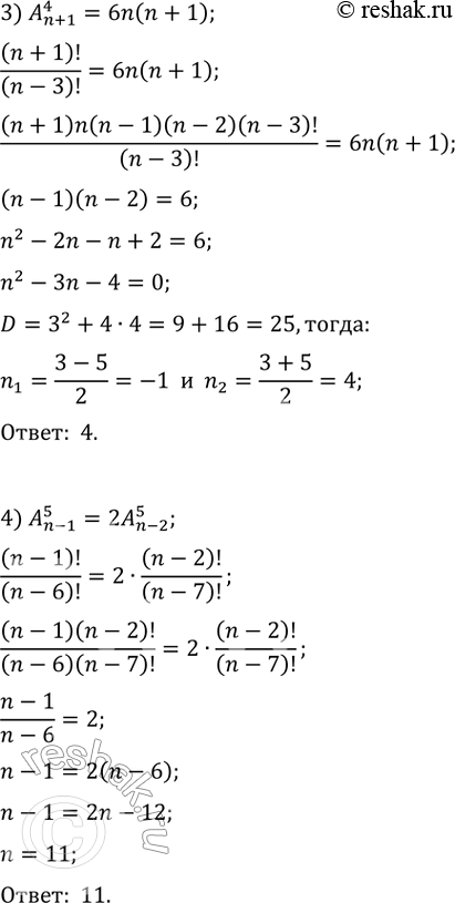
3) An+1 4= 6n(n+1);
4) An-1 5 = 2An-2 5;
5) Cn+1 3/Cn 4=8/5;
6) Cn 3= 4Cn-2 2.
*размещая тексты в комментариях ниже, вы автоматически соглашаетесь с пользовательским соглашением