Упр.5.5 ГДЗ Мордкович Семенов 8 класс (Алгебра)
Решение #1

Рассмотрим вариант решения задания из учебника Мордкович, Семенов, Александрова 8 класс, Бином:
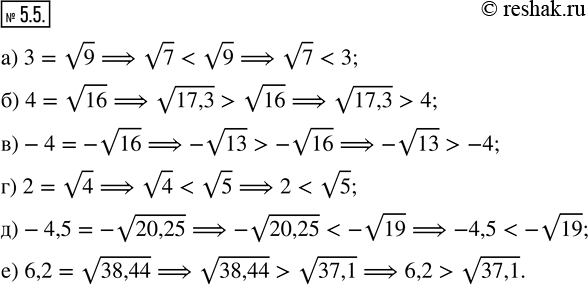
5.5. Сравните числа:
а) v7 и 3; в) -v13 и -4; д) -4,5 и -v19;
б) v17,3 и 4; г) 2 и v5; е) 6,2 и v37,1.
*размещая тексты в комментариях ниже, вы автоматически соглашаетесь с пользовательским соглашением