Упр.515 ГДЗ Колягин Ткачёва 8 класс (Алгебра)
Решение #1

Рассмотрим вариант решения задания из учебника Колягин, Ткачёва, Фёдорова 8 класс, Просвещение:
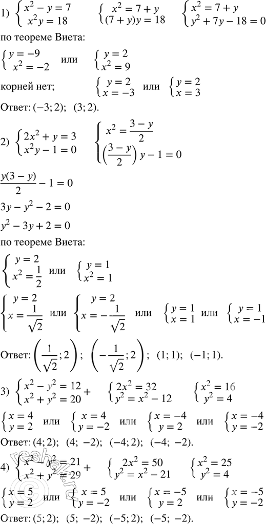
515. Решить систему уравнений:
1) {(x^2-y=7
x^2 y=18)+
2) {(2x^2+y=3
x^2 y-1=0)+
3) {(x^2-y^2=12
x^2+y^2=20)+
4) {(x^2-y^2=21
x^2+y^2=29)+
*размещая тексты в комментариях ниже, вы автоматически соглашаетесь с пользовательским соглашением