Упр.535 ГДЗ Колягин Ткачёва 8 класс (Алгебра)
Решение #1

Рассмотрим вариант решения задания из учебника Колягин, Ткачёва, Фёдорова 8 класс, Просвещение:
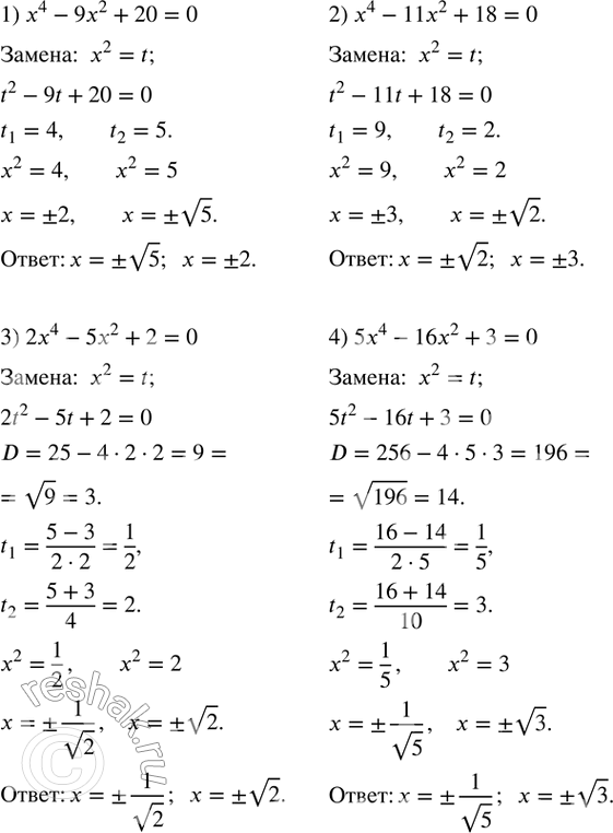
535. Решить уравнение:
1) x^4-9x^2+20=0;
2) x^4-11x^2+18=0;
3) 2x^4-5x^2+2=0;
4) 5x^4-16x^2+3=0.
*размещая тексты в комментариях ниже, вы автоматически соглашаетесь с пользовательским соглашением