Упр.569 ГДЗ Колягин Ткачёва 8 класс (Алгебра)
Решение #1

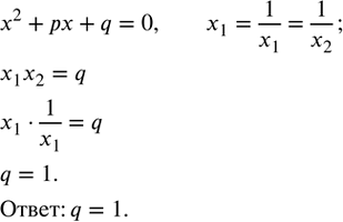
Рассмотрим вариант решения задания из учебника Колягин, Ткачёва, Фёдорова 8 класс, Просвещение:
569. Корни квадратного уравнения x^2+px+q=0 - взаимно обратные положительные числа. Найти q.
*размещая тексты в комментариях ниже, вы автоматически соглашаетесь с пользовательским соглашением