Упр.578 ГДЗ Колягин Ткачёва 11 класс (Алгебра)
Решение #1
Решение #2

Рассмотрим вариант решения задания из учебника Колягин, Ткачёва, Фёдорова 11 класс, Просвещение:
578 Игральный кубик бросают 5 раз. Какова вероятность того, что одно очко появится:
1) ровно 2 раза;
2) ровно 3 раза;
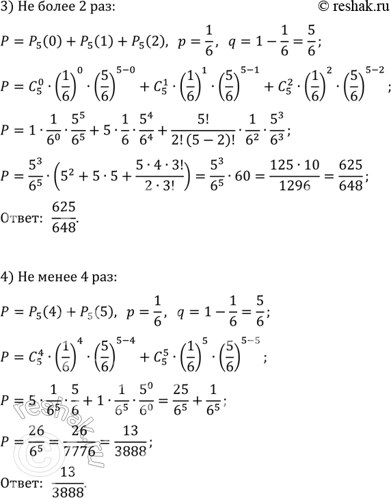
3) не более 2 раз;
4) не менее 4 раз?
*размещая тексты в комментариях ниже, вы автоматически соглашаетесь с пользовательским соглашением