Упр.6.3 ГДЗ Мордкович Семенов 8 класс (Алгебра)
Решение #1

Рассмотрим вариант решения задания из учебника Мордкович, Семенов, Александрова 8 класс, Бином:
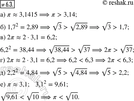
6.3. Сравните числа:
а) ? и 3,14; в) 2? и v37; д) v5 и 2,2;
б) v3 и 1,7; г) 2? и 6,3; е) ? и v10.
*размещая тексты в комментариях ниже, вы автоматически соглашаетесь с пользовательским соглашением