Упр.607 ГДЗ Колягин Ткачёва 11 класс (Алгебра)
Решение #1
Решение #2

Рассмотрим вариант решения задания из учебника Колягин, Ткачёва, Фёдорова 11 класс, Просвещение:
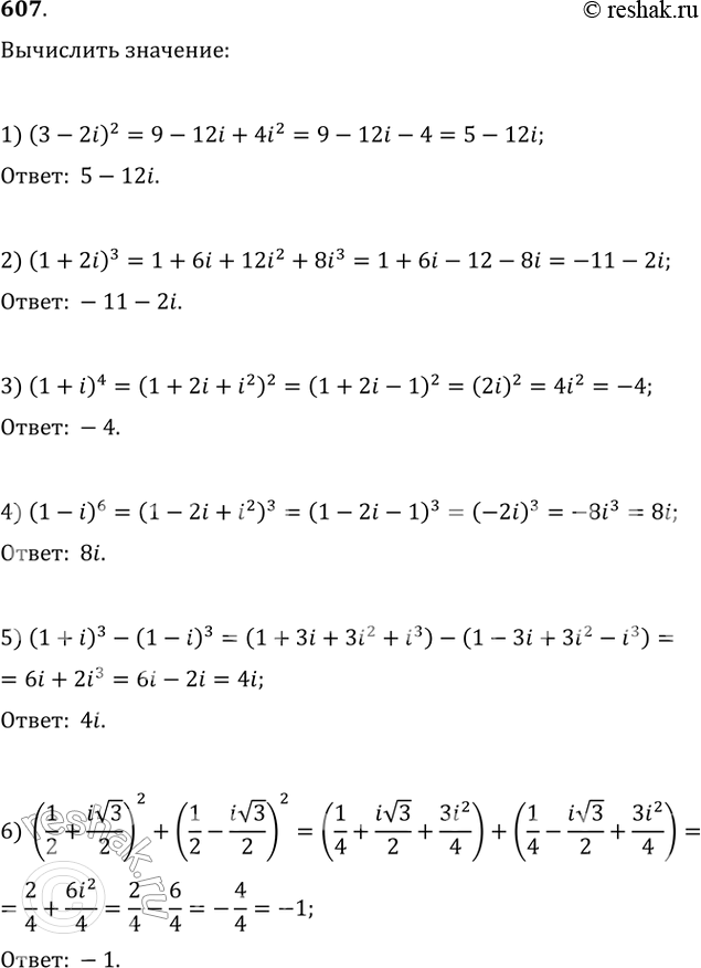
607. Вычислить:
1) (3 - 2i)2;
2) (1 + 2i)3;
3) (1 + i)4;
4) (1 - i)6;
5) (1+i)3-(1-i)3;
6) (1/2 + i корень 3/2)2 + (1/2 - i корень 3/2)2.
*размещая тексты в комментариях ниже, вы автоматически соглашаетесь с пользовательским соглашением