Упр.611 ГДЗ Никольский Потапов 8 класс (Алгебра)
Решение #1

Рассмотрим вариант решения задания из учебника Никольский, Потапов 8 класс, Просвещение:
611 Из «Книги абака» Леонардо Пизанского (Фибоначчи) (XII-XIII вв.).
а) система
xy-y=42,
x-y=2;
б) система
xy+y=2,
x-y=2;
в) система
x+y=10,
(x/y + 10)(y/x+10)=122*2/3;
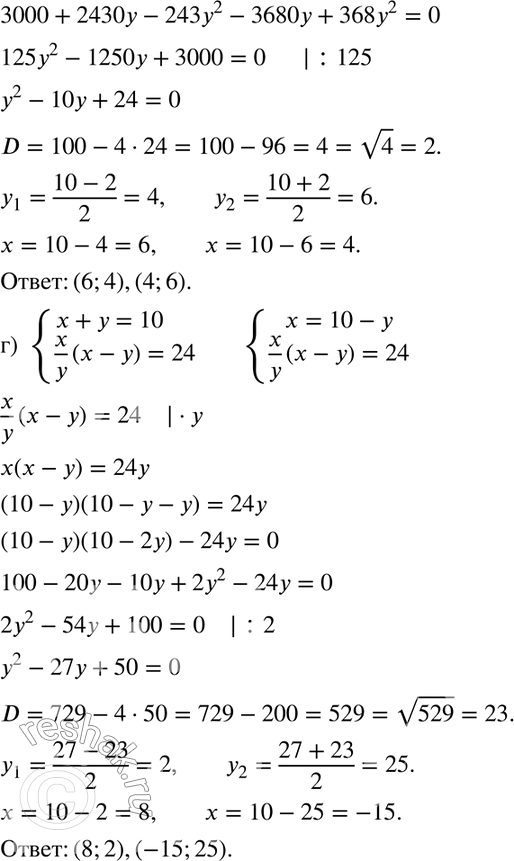
г) система
x+y=10,
x/y(x-y)=24.
*размещая тексты в комментариях ниже, вы автоматически соглашаетесь с пользовательским соглашением