Упр.635 ГДЗ Колягин Ткачёва 11 класс (Алгебра)
Решение #1
Решение #2

Рассмотрим вариант решения задания из учебника Колягин, Ткачёва, Фёдорова 11 класс, Просвещение:
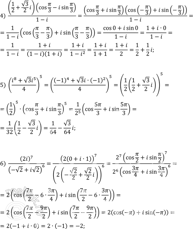
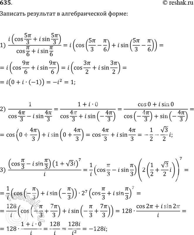
635. Выполнить действия и записать результат в алгебраической форме:
1) i(cos 5пи/3 + isin 5пи/3)/ cos пи/6 + isin пи/6;
2) 1/ cos 4пи/3 - isin 4пи/3;
3) (cos пи/3 - isin пи/3)(1+ корень 3i)7/i;
4) (1/2 + корень 3/2i)(cos пи/3 - isin пи/3);
5) (t8 + корень 3t5/4)5;
6) (2i)7/(-корень 2 + i корень 2)6.
*размещая тексты в комментариях ниже, вы автоматически соглашаетесь с пользовательским соглашением